造血干细胞移植(HSCT)是血液系统恶性疾病的重要治疗手段之一,但移植后血小板减少症是HSCT患者常见的并发症之一,尽管发生率在不同研究中存在差别,但普遍认为血小板减少症对患者的预后有不利影响。在HSCT治疗过程中,预处理、移植及其他并发症均可能导致血小板减少的发生,不仅增加了出血风险,还可能导致患者对血小板输注的依赖性增加,进而影响患者的生活质量与长期生存,截至目前,仍缺乏治疗HSCT相关血小板减少症的有效手段。临床研究及真实世界数据表明,罗普司亭等TPO-RA能够有效促进ITP患者血小板计数恢复且安全性良好,因此,TPO-RA或许能够应用于HSCT相关血小板减少症,促进血小板植入并减少血小板输注需求。血小板减少是影响HSCT预后的常见并发症之一
HSCT相关血小板减少症定义众多,大致可分为两类,分别为:(1)移植后血小板计数持续偏低且排除疾病复发因素的血小板重建延迟或孤立性持续性血小板减少(PIT);(2)移植后血小板重建、初始计数恢复后出现持续下降的继发性血小板减少,又称继发性血小板恢复失败(SFPR)1。国外研究数据表明,HSCT后血小板减少症的发生率达5-37%,是HSCT常见并发症之一2。研究表明,血小板减少症是HSCT的主要不良预后因素之一,CD34+细胞输注不足、巨细胞病毒(CMV)感染、移植物抗宿主病(GvHD)、移植失败、供体特异性抗体(DSA)、药物等因素均可能引起不同程度的骨髓抑制或血小板破坏,病因相对复杂3。目前,国内外仍缺乏针对HSCT相关血小板减少症的指南共识,血小板输注仍是治疗的主要手段,此外,促血小板生成及免疫调节治疗同样可用于这类患者的治疗。拓展阅读:
不同研究中对HSCT后血小板减少症的定义存在差别,P Ramırez等研究者纳入了850例接受异基因造血干细胞移植(allo-HSCT)的恶性血液病患者,探索了血小板恢复延迟(DPR),即血小板重建延迟的发生率、风险因素以及对患者预后的影响4。研究结果显示,44%的患者发生了DPR,与60天内实现血小板恢复的患者相比,其1年总体生存(OS)率显著下降(59% vs. 77%, P<0.01),1年移植相关死亡(TRM)率显著增高(30% vs. 11%, P<0.01)。多因素分析结果表明,预处理方案、供体类型、CMV血清状态、ABO相容及急性GvHD等因素均与DPR的发生显著相关。TPO-RA可用于治疗HSCT相关血小板减少症
近年来,TPO-RA类促血小板生成药物在ITP及AA治疗领域展现出了一定潜力,体外研究证实TPO-RA能够与TPO受体相结合并促进巨核细胞增殖分化、刺激血小板生成,可广泛应用于多种原因引起的血小板减少症。在部分小样本研究中,TPO-RA成功恢复了HSCT相关血小板减少症患者的血小板计数,有效降低了出血风险。表1. TPO-RA针对HSCT相关血小板减少症的临床研究5西班牙一项多中心回顾性研究纳入了86例接受allo-HSCT后出现血小板减少症的患者,其中16例(19%)患者发生PIT,71例(82%)患者发生SFPR,在TPO-RA治疗前,患者中位血小板计数为14×109/L5。在治疗过程中,接受罗普司亭及艾曲泊帕治疗的患者比例分别为41%与59%,患者总应答率为72%,其中SFPR 组为73%,PIT组为67%。在最后一次随访时,81%的患者顺利停用TPO-RA并维持应答。相较于无应答患者,应答患者的死亡率显著降低(15% vs. 53%)。图2. TPO-RA治疗后应答与无应答患者生存情况5拓展阅读:
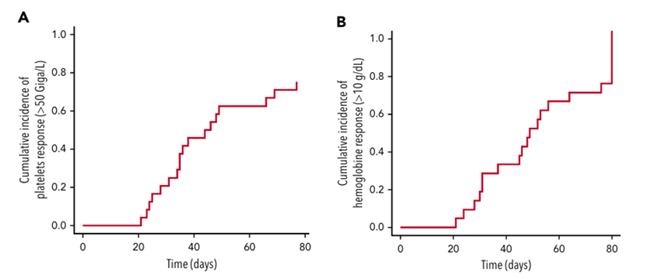
尽管糖皮质激素、利妥昔单抗等免疫抑制药物可促进ITP患者的血小板计数恢复,但HSCT相关血小板减少的病因相对复杂,患者对糖皮质激素的反应相对较差,此外,考虑到激素治疗的不良反应风险,不建议长期使用。利妥昔单抗治疗移植后血小板减少的报道相对较少,从病理机制来看,CD20+细胞水平异常增高、DSA阳性、不排除与免疫异常亢进相关的患者可酌情用药6。罗普司亭可促进HSCT后
血小板减少症患者造血功能恢复
相较于小分子TPO-RA,长效罗普司亭每周仅需给药一次,用药更加便捷,可在一定程度上降低患者的治疗负担。在一项I/II期前瞻性单臂试验中,Régis Peffault de Latour等研究人员评估了罗普司亭在allo-HSCT相关血小板减少症中的有效性与安全性。在纳入研究的24例患者中,10例患者为血小板植入延迟,另14例患者因GvHD或感染出现继发性血小板减少7。在治疗过程中,患者整体耐受性良好,未发生出血事件或血栓并发症。其中19例患者接受了12次罗普司亭注射,另5例患者退出研究,非复发死亡率为21%。患者总应答率达到85%,实现血小板应答且无需血小板输注的中位时间为45天。此外,16例患者摆脱输血依赖,实现了血小板持续应答。在血小板计数恢复的同时,22例血红蛋白水平过低的患者中21例实现血红蛋白应答,且4例中性粒细胞计数过低的患者在治疗后同样有所改善。图3. 罗普司亭治疗后患者血小板及血红蛋白改善情况7整体而言,长效TPO-RA罗普司亭能够为allo-HSCT后出现输血依赖性血小板减少症的患者提供一定的临床获益。拓展阅读:
对于接受HSCT的患者而言,在治疗前必须接受清髓性预处理,预处理方案会导致患者全血细胞减少,并依赖于血小板输注治疗。针对预处理方案诱导的血小板减少症,目前仍缺乏预防或促进患者造血功能恢复的有效手段。在一项研究者发起的单臂试验中,接受自体造血细胞移植(auto-HCT)的患者在移植后第一天起接受罗普司亭给药,尽管罗普司亭并未缩短血小板减少的持续时间及严重程度,但患者血小板计数恢复速度显著加快8。这项研究数据同样证实,罗普司亭能够显著改善患者血小板计数,减少输血需求,但具体用药剂量及给药时间仍需进一步调整,或许能够有效预防血小板减少事件的发生。观点评述
现有研究表明,长效TPO-RA罗普司亭在HSCT相关血小板减少症中具有一定的治疗潜力,能够有效促进患者血小板计数恢复、减少输注需求,进而改善患者生存预后,为HSCT后植入延迟和血小板输注依赖的患者提供了新的治疗选择。相较于小分子TPO-RA,罗普司亭的长效特性使得这一药物在用药便捷性方面具有明显优势,更适用于HSCT后需要长期管理的患者。目前,国产长效TPO-RA罗普司亭N01已顺利获批上市,未来也将开展针对HSCT相关血小板减少症的临床试验,为国内患者提供一种可及性更高的治疗药物选择。此外,在未来的研究中,需要进一步探索罗普司亭的最佳用药时机、最佳剂量以及长期给药的安全性,尝试与其他治疗手段相结合,综合考虑血小板减少的病理机制,为患者提供更加个性化、更加有效的治疗方案。
参考文献:
1. Mahat U, et al. Biol Blood Marrow Transplant. 2020 Mar;26(3):e65-e73.
2. Yamazaki R, et al. Bone Marrow Transplant. 2006 Sep;38(5):377-84.
3. 申彪, 等.中国细胞生物学学报,2022,44(1):158-164.
4. Ramírez P, et al. Bone Marrow Transplant. 2011 Jul;46(7):981-6.
5. Bento L, et al. Biol Blood Marrow Transplant. 2019 Sep;25(9):1825-1831.
6. 韩悦, 等.临床血液学杂志,2020,33(1):10-1217.
7. Peffault de Latour R, et al. Blood. 2020 Jan 16;135(3):227-229.
8. Scordo M, et al. Blood Adv. 2023 Apr 25;7(8):1536-1544.