导语
当前生物标志物工具的缺陷
生物标志物是AD早期诊断、病程监测、指导治疗和疗效判断的重要依据。其中,PET成像和CSF生物标志物在AD早期诊断、疾病演变以及与其他神经变性疾病的鉴别中具有重要价值。但这两类生物标志物在临床使用过程中也存在诸多问题,如经济性、安全性和依从性等。最近的一项研究表明,仅有40个中心,主要在欧洲和北美(以及澳大利亚和中国的一些中心)积极参与生物标志物支持的AD诊断和研究(图1)。获得生物标志物支持的AD诊断和研究的机会非常有限,且仅限于特定的地区和特定的人群。对于更多的患者群体,相关诊断似乎看上去仍“遥不可及”。

CSF p-tau与血浆p-tau
不同于腰椎穿刺或PET成像需要专门的培训和设备,血液采集程序的技术需求较低,且血液是最为常见的检验标本,在AD诊断中具有便捷、性价比高和患者依从性好等特点。AD相关血液标志物的检测不仅为患者实现了早期诊断的可能,同样为科研人员的AD临床研究指出了新的方向。
CSF与脑实质存在密切接触,而且是脑细胞外溶质的重要交汇场所。在AD患者的疾病生理环境下,CSF中的p-tau生物标志物在AD早期诊断和预测中具有重要价值。近年来,各项数据进一步证实了这一观点。然而客观来讲,CSF生物标志物的检查也存在诸多限制,如属于侵入性检查导致患者依从性差,由于缺乏规范技术程序导致不同实验室之间的差异性较大。因此,由CSF的p-tau标志物向血液的p-tau标志物的过渡显得格外重要。研究表明,血浆p-tau检查在阿尔茨海默病的诊断、鉴别、预后方面均有较高的可靠性与精确性(图2)。

血浆p-tau可以作为临床前阿尔茨海默病Aβ病理学状态的生物标志物
早在临床前AD阶段,患者脑内的β-淀粉样蛋白(Aβ)已出现病理学积累,但此时个体的认知功能并未受损。如果存在简单高效的血液生物标志物评估方法,则无需经历长期腰部穿刺或者正电子发射型计算机断层显像(PET)来判断Aβ水平,进而评估临床前AD的状态。
过往研究显示,在临床前AD阶段即可发生p-tau181、p-tau217、p-tau231、神经丝蛋白轻链(NfL)、胶质纤维酸性蛋白(GFAP)、Aβ40/42等血液标志物的改变,但是这些血液标志物是否能够预测认知尚未受损患者的Aβ病理学状态仍尚未明确。
来自Barcelonaβeta Brain Research Center和哥德堡大学精神病学和神经化学系的Marc Suárez-Calvet和Kaj Blennow团队在Nature Medicine上发表相关论文称,血浆p-tau231和p-tau217可以作为临床前阿尔茨海默病Aβ病理学状态的生物标志物。
该团队纳入了397例认知未受损的中年患者,其中135例患者的脑脊液(CSF)Aβ42/40显示出Aβ阳性,即该类患者表现为临床前AD状态。脑脊液检测中Aβ阳性且tau阴性患者的血液生物标志物均发生改变,其中改变最为显著的生物标志物为p-tau231、p-tau217和Aβ42/40。在CSF Aβ42/40水平异常但PET显示未形成Aβ斑块的群体中,血液生物标志物含量同样都发生改变,而以p-tau231和Aβ42/40的变化最为显著。研究团队进一步探究发现,无论是以CSF Aβ42/40还是Aβ PET为疾病进展指标,血浆p-tau231和p-tau217都是变化最敏感且显著的生物标志物,并且与脑内早期Aβ沉积存在较大关联性(图3)。

血浆p-tau在阿尔茨海默病患者诊断和预测预后方面的应用
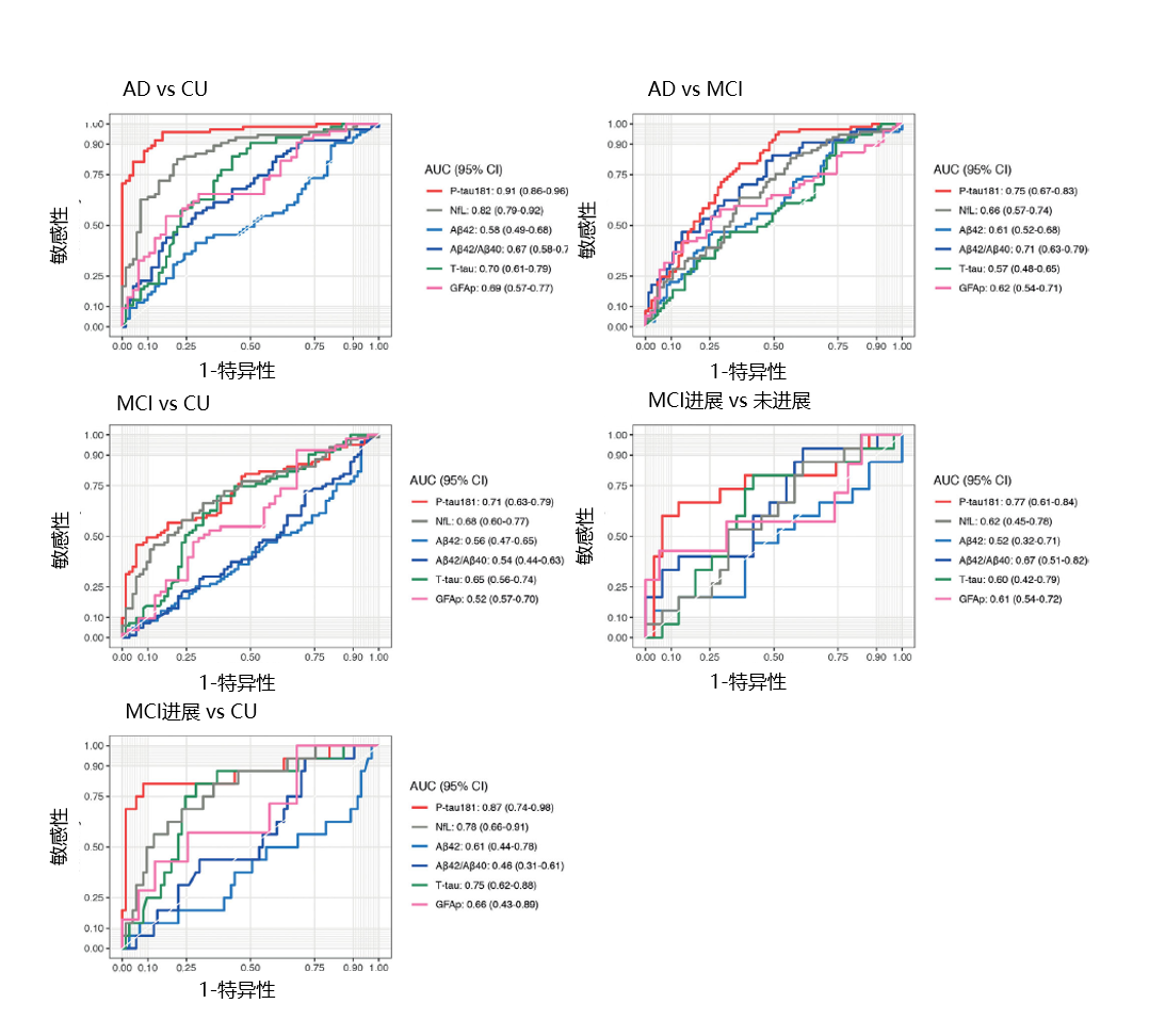
近期的一项回顾性研究中,纳入了99例认知未受损(CU)、107例轻度认知功能障碍(MCI)与103例AD患者,测定其GFAP、Aβ42、Aβ40和t-tau等数据,并使用MMSE测定其认知功能,并计算在不同患者群体中显示血液生物标志物诊断准确性的ROC曲线。研究人员发现,对比CU和MCI患者,AD患者的各项血液生物标志物均存在明显变化,而MCI患者对比CU患者来说,仅发现血浆p-tau181和NfL的增加(图4)。

图4. 不同患者群体的ROC曲线
此外,在探究并对比了不同血浆p-tau浓度的MCI患者的疾病进展之后,研究人员发现,MCI患者中,较高的血浆p-tau181水平提示了更快的AD进展(图5)。

研究人员表明,与AD的其他相关血液生物标志物(Aβ42/Aβ40、NfL、T-tau和GFAP)相比,血浆p-tau181具有更优越的诊断性能和预测患者预后的能力。
总结
生物化学和临床化学的最新突破性进展使血浆p-tau生物标志物的进一步开发和探索成为可能,并有机会将AD领域引向全新的研究方向。数个相关的临床研究表明,血浆p-tau显示出优异的诊断准确性以及鉴别诊断和预测患者预后的能力。在AD患者的不同阶段,淀粉样变性和tau病理也存在着不同程度的关联,不同的p-tau生物标志物也有着不同的适用范围。
参考文献:
1.Gonzalez-Ortiz F, Kac PR, Brum WS, Zetterberg H, Blennow K, Karikari TK. Plasma phospho-tau in Alzheimer's disease: towards diagnostic and therapeutic trial applications. Mol Neurodegener. 2023 Mar 16;18(1):18. doi: 10.1186/s13024-023-00605-8. PMID: 36927491; PMCID: PMC10022272.
2.Milà-Alomà M, Ashton NJ, Shekari M, Salvadó G, Ortiz-Romero P, Montoliu-Gaya L, Benedet AL, Karikari TK, Lantero-Rodriguez J, Vanmechelen E, Day TA, González-Escalante A, Sánchez-Benavides G, Minguillon C, Fauria K, Molinuevo JL, Dage JL, Zetterberg H, Gispert JD, Suárez-Calvet M, Blennow K. Plasma p-tau231 and p-tau217 as state markers of amyloid-β pathology in preclinical Alzheimer's disease. Nat Med. 2022 Sep;28(9):1797-1801. doi: 10.1038/s41591-022-01925-w. Epub 2022 Aug 11. Erratum in: Nat Med. 2022 Sep 13;: PMID: 35953717; PMCID: PMC9499867.